Instructions | Husky Portable Containment
Skip to content

7202 SE International Ct, Bartlesville, OK 74006

hpc@huskyportable.com

1-800-260-9950

Manuals and Instructions

Click on the items below to download the user manuals and instructions:

Husky's mega-capacity PRO500 tank
PRO500 Bag Rolling Instructions
download
Husky's Quick Dump makes emptying your tank quick and easy
Quick Dump Instructions
download
Eagle Berm II with continuous air side walls
Continuous Air Wall Construction
download
Husky's self-supporting tank
Self-Supporting Tank Instructions
download
Husky's Freedom Series II berm
Super Berm Type II or Freedom Berm Type II Instructions
download
Car driving onto a foam wall berm
Foam Wall Containment Berm Instructions
download
Flange Kit for Husky's self-supporting tanks, folding frame tanks, and bladder tanks
Flange Kit Instructions
download
Bulkhead fitting option for Husky's self-supporting tanks, folding frame tanks, and bladder tanks
Bulkhead Fitting Installation
download
Husky's Double Folding Frame Tank
Double Folding Frame Tank Instructions
download
Patch kit for Husky tank liners
Patch Kit Instructions
download
Military personnel using the Aluminum Angle Berm
Aluminum Angle Berm Instructions
download
Husky offers replacement liners for all tanks
Replacement Liner Instructions
download
Husky's Super Berm or Freedom Berm IV
Super Berm or Freedom Berm Type IV Instructions
download
Firefighters use Husky's portable tank rack to mount a tank on their firetruck
Portable Tank Rack Instructions
download
Firefighters folding up a Husky tank
Instructions, Warnings, and Warranties
download
Firefighters folding a Husky folding frame tank using Easy Lift Handles
How to Fold and Unfold a Frame Tank
download
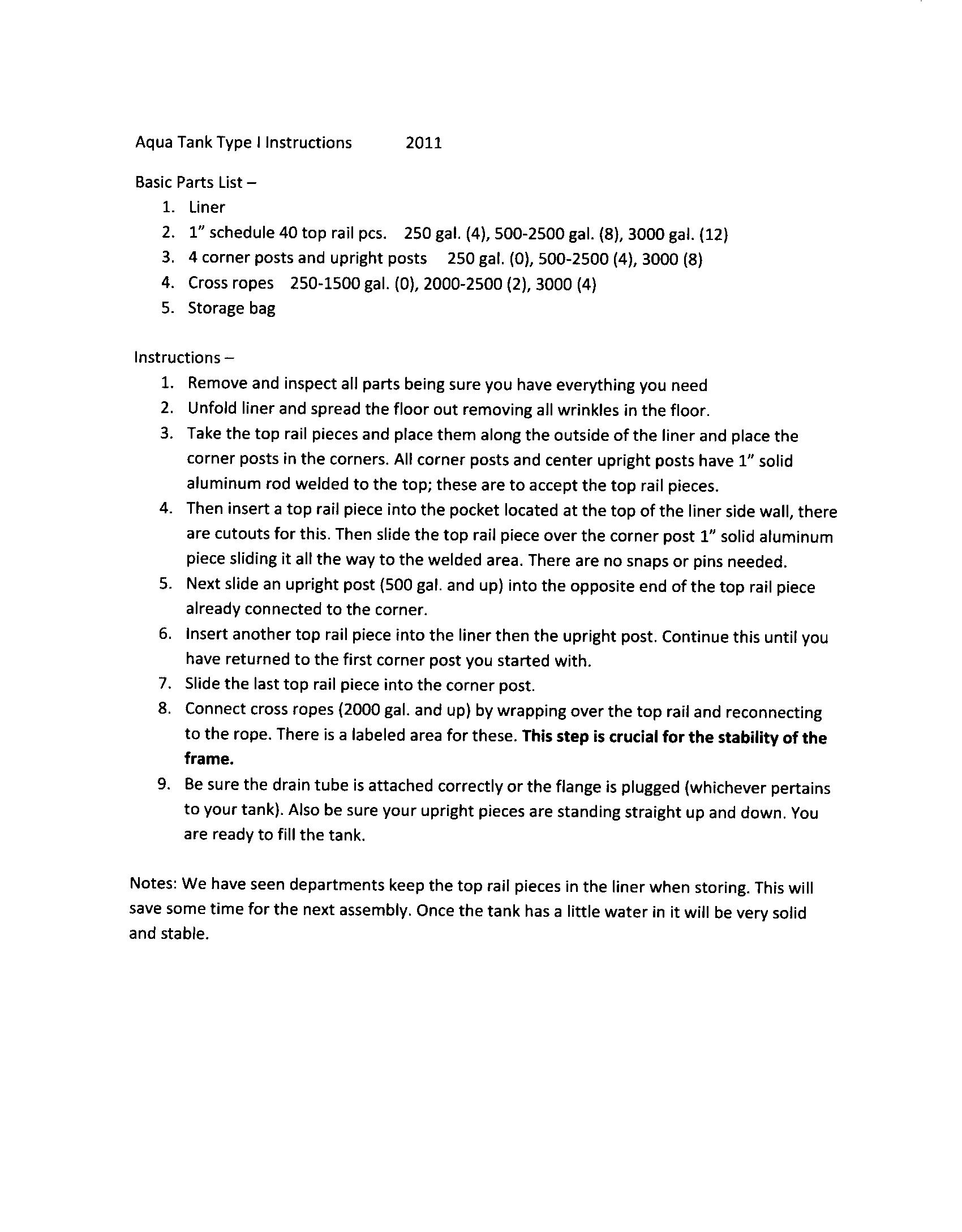
Husky's Aqua Tank Type I
Aqua Tank Type I Assembly Instructions
download
Husky's Aqua Tank Type II
Aqua Tank Type II Instructions
download
Husky's Aqua Tank Type III
Aqua Tank Type III Instructions
download
Washing construction equipment using Husky's berm with foam walls
Enclosed Foam Wall Berm Instructions
download
How Can We Help?
            Get a Quote
                      Find a Dealer
                                Start your Order

                                          Contact Us